-
抖音
-
视频号
-
微信
公众号
-
联系
我们 -
化学需氧量、高锰酸盐指数、生化需氧量、氨氮、总磷、总氮都是地表水环境质量标准基本项目指标,既是判断水域水质的评价标准,判断水质是否适用的尺度,也是水质治理和规划的目标和水质管理的技术基础。在分析水质指标的同时,进一步关注指标之间的内在联系,不仅对环境监测分析的数据审核具有非常重要的指导意义,同样在环境影响评价领域可以得到很好的利用。
化学需氧量、高锰酸盐指数是作为直接表示水体中还原性物质和有机物相对含量的指标,生化需氧量是作为间接表示水体中有机物含量的指标,均为判断水质质量的重要参数;氨氮和总氮是反映水体中不同形式氮含量的指标,总磷是反映水体中总的磷化合物数量总和的指标,而氮磷元素都时导致水体富营养化和水质变差的重要因素。
通过分析水质指标的相互关系,并总结数据之间的规律性,对于分析人员和审核人员判断数据准确性具有一定指导意义,并且在一定置信度条件下对相关性指标进行预判。随着水体环境研究的不断深入,更多的国内外环境分析和监测人员关注到指标之间的关联性,这将在环境影响评价、废水污染源辨析和管控、生态环境水体监测以及污染变化趋势判断等诸多方面发挥重要作用。
六项地表水项目分析方法
序号 | 分析项目 | 分析方法 |
No.1 | 化学需氧量 | 水质 化学需氧量的测定 重铬酸盐法 HJ 828-2017 |
No.2 | 高锰酸盐指数 | 水质 高锰酸盐指数的测定 GB/T 11892-1989 |
No.3 | 生化需氧量 | 水质 五日生化需氧量(BOD5)的测定 稀释与接种法 HJ 505-2009 |
No.4 | 氨氮 | 水质 氨氮的测定 纳氏试剂分光光度法 HJ 535-2009 |
No.5 | 总氮 | 水质 总氮的测定 碱性过硫酸钾消解紫外分光光度法 HJ 636—2012 |
No.6 | 总磷 | 水质 总磷的测定 钼酸铵分光光度法 GB/T 11893-1989 |
1 水质六项基本指标的相互关联性
**长江段地表水各指标的Pearson相关系数r
监测指标 | COD | IMn | BOD5 | NH3-N | 总氮 | 总磷 |
COD | 1 | |||||
IMn | 0.9007 | 1 | ||||
BOD5 | 0.8608 | 0.8605 | 1 | |||
NH3-N | 0.8362 | 0.4688 | 0.2752 | 1 | ||
总氮 | 0.4335 | 0.2193 | 0.2464 | 0.8190 | 1 | |
总磷 | 0.8259 | 0.8188 | 0.5607 | 0.8249 | 0.7245 | 1 |
2 化学需氧量、高锰酸盐指数、生化需氧量的相关性分析
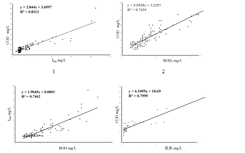
化学需氧量、高锰酸盐指数和生化需氧量都是可以表示水体中有机物相对含量的条件性指标,但又有所区别。化学需氧量和高锰酸盐指数都可以直接反映了水中受还原性物质污染的过程,包括有机物、亚硝酸盐、亚铁盐、硫化物等,化学需氧量中使用的氧化剂为重铬酸钾,氧化率约为90%,所以其指标反应的能被氧化的有机物不包括多环芳烃、PCB、二噁英等,高锰酸盐指数中所用的高锰酸钾的氧化率要比重铬酸钾更低,约为40%;生化需氧量则是通过利用水中有机物在一定条件下所消耗的氧来间接反应水中有机物的含量,氧化剂为原水中的溶解氧。从这三种指标所能反映的污染情况来看,其必然存在一定的关联性;从统计数据来看,也确实证实了三种指标之间的相关性程度非常密切。

2.2 氨氮和化学需氧量、高锰酸盐指数的相关性分析
氨氮和化学需氧量之间存在着极显著相关性,R=0.8362,为了进一步了解二者之间关系,对131组氨氮和化学需氧量数据进行线性回归分析,线性回归关系为:y = 7.0795x + 8.6624,R2 = 0.6992,COD/氨氮的平均值约为7.08。
同样是反映水质中还原性物质的污染情况,高锰酸盐指数与氨氮的相关性却没有化学需氧量和氨氮的相关性那么显著,其Pearson相关系数为0.4688,发现其两者只表现出弱相关性。
2.3总氮、氨氮和总磷的相关性分析
总氮反映的是水体中有机氮和各种无机氮化物的含量,主要来源于生活污水、农田排水和含氮工业废水;氨氮则是反映水体中游离氨和氨盐的含量,主要来源于生活污水中含氮有机物受微生物作用的分解产物、某些工业废水和农田排水。从定义上看,氨氮是总氮含量的一部分,所以氨氮和总氮之间会存在一定的相关性。总磷反映的是水体中磷元素的总含量,主要来自于化肥、冶炼等工业废水和生活无水,水质中总磷和总氮的含量过高都是造成水体富营养化的重要的原因,因此探索总氮、氨氮和总磷之间的相关性对环境水体分析具有重要意义。
通过对氨氮和总氮的监测数据进行相关性和线性回归分析,可知氨氮与总氮的Pearson相关系数为0.8702,线性回归关系为:y = 1.6653x + 1.1133,R2 = 0.7572,总氮/氨氮的平均值约为1.67,即氨氮在总氮中的占比约为60%。以上只是统计学角度的相关性,单从散点图中可以发现,总氮的值在0~2mg/L的范围内,氨氮值保持在0.1mg/L以下,基本处于到检出下限以下,可以理解为总氮值较低时,水质中氮以游离氨和铵盐以外的形式存在。如果出现氨氮值高于总氮值时,应当考虑采样和分析过程中是否出现错误。

氨氮与总磷的Pearson相关系数为0.9498,其相关程度大于总氮与总磷的相关程度,从氨氮和总磷的散点图同样可以发现,总磷值在0~0.05 mg/L的范围内,氨氮值同样保持在0.4mg/L的检出下限以下。但是,当氨氮和总磷的浓度都较大时,由于总磷含量的升高,导致水体富营养话,水生生物尤其藻类大量繁殖,进而分解产物也大量增加,导致氨氮量增加。也就是说,在水体受污染严重的情况下,氨氮和总磷会表现出很强的相关性和变化一致性。
结论
在地表水中化学需氧量、高锰酸盐指数和生化需氧量三者之间有明显的相关性,并且三者之间的比例关系较为吻合,可以利用单一指标去预测或估算其他指标,完全可以用于对监测数据的预判和数据合理性的审核。氨氮和化学需氧量非常显著的的相关性,但和高锰酸盐指数的相关性较弱,说明难以被高锰酸盐氧化的有机物是影响其相关性的重要原因,因此氨氮和化学需氧量的相关性并非是相互的,仅在有机污染物较高时可作为参考。氨氮和总磷、总氮之间存在非常明显的相关性,总氮与氨氮的比例约为1.67,且总氮越低,氨氮占比越低;总磷升高所导致的水体富营养化会随之使得氨氮值升高,二者表现出很好的相关性和变化趋势一致性。
上一篇: 含磷废水如何危害我们的环境
下一篇: 短程脱氮工艺原理、调控策略和研究进展